2026年4月“三项岗位”人员安全培训计划公示
发文时间:2026-03-17
资料来源:包头市应急管理局
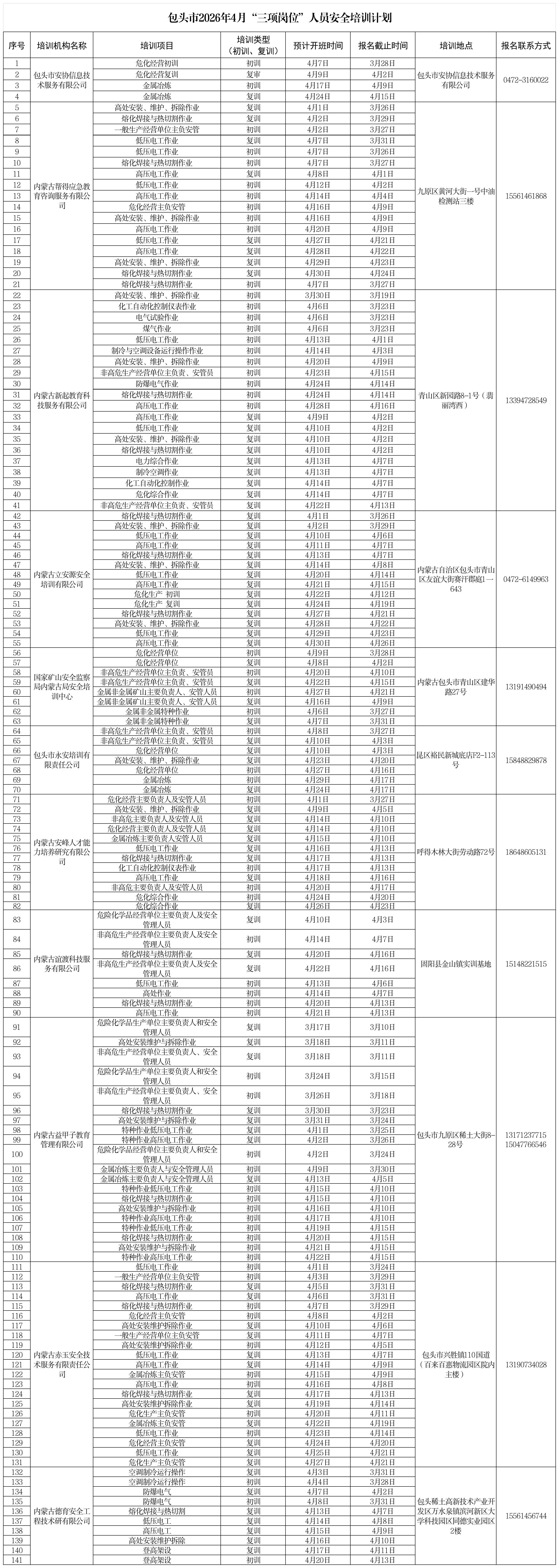
包头市应急管理局汇总全市范围内符合条件的培训机构安全生产“三项岗位”人员4月份培训计划,并向社会公布。便于相关企业及考生提早规划,根据自身需求选择培训机构报名培训。
备注:点击图片查看清晰大图。需报考“危险化学品安全作业”类别下相关工种培训的特种作业人员可直接查看名称为“危化综合作业”的培训班级。

上一篇:
关于公布拟新增专家名单的公告
字体
- 大
- 中
- 小
相关附件